2023年10月26日,動物科技學院張勤教授課題組在Journal of Integrative Agriculture在線發表題為“Genome-wide association study for numbers of vertebrae in Dezhou donkey population reveals new candidate genes”的研究論文,鑒定到影響德州驢胸腰椎數的候選基因。
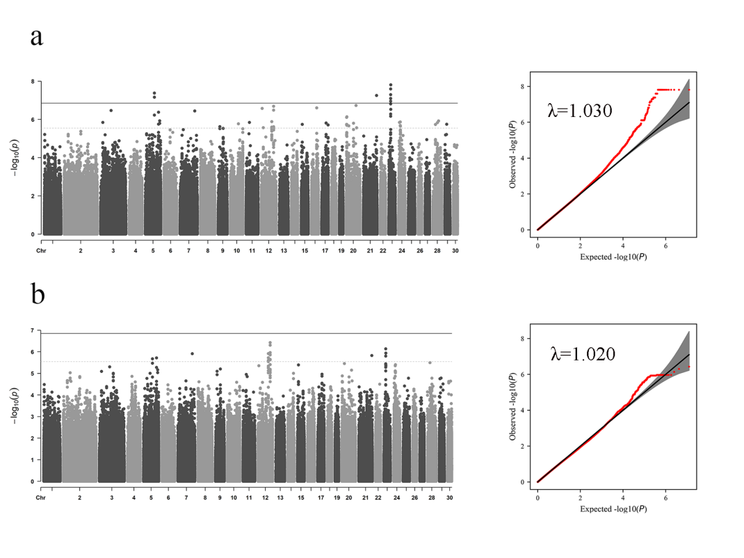
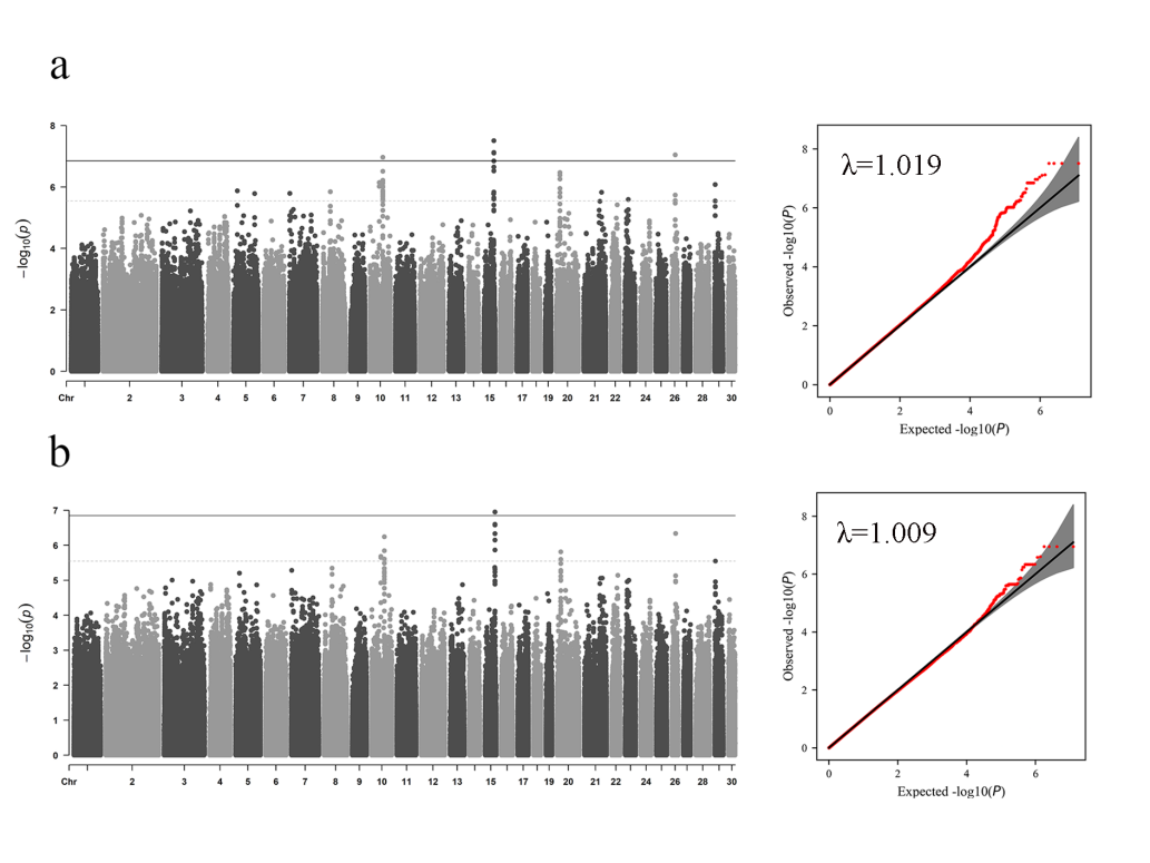
家畜體尺特別是體長大小直接影響其產肉性能、產皮性能,并與繁殖性能密切相關,是家畜育種的重要性狀之一。與驢傳統育種技術相比,利用主效基因和分子標記的現代遺傳改良技術培育皮厚肉多新品種,更經濟、快捷且有效。本研究對347頭德州驢群體進行低深度的全基因組重測序,利用GEMMA軟件的線性混合模型和logistic混合模型分別對胸腰椎數性狀進行關聯分析,發現多個與胸椎數和腰椎數顯著關聯的基因,其中WNT7A、BMP7可能是驢差異胸腰椎數性狀的關鍵候選基因。該研究為提高驢的生產性能提供了重要的理論參考。

圖1 胸椎數性狀GWAS分析曼哈頓圖和QQ圖

圖2 腰椎數性狀GWAS分析曼哈頓圖和QQ圖
我校2020級博士生孫艷(已畢業)和聊城大學驢高效繁育與生態飼養研究院李玉華老師為共同第一作者。山東農業大學動物科技學院山東省動物生物技術與疾病預防控制重點實驗室張勤教授和聊城大學驢高效繁育與生態飼養研究院王長法教授為該文章的通論作者,該研究得到山東省自然基金面上項目的資助。
全文鏈接:https://doi.org/10.1016/j.ji?a.2?023.04.?038
編 輯:萬 千
審 核:賈 波


