近日,農學院張吉旺教授團隊在《Agricultural Water Management》在線發表了題為“The effects of high temperature, drought, and their combined stresses on the photosynthesis and senescence of summer maize”的研究論文。畢業研究生胡娟博士、趙新宇碩士和谷利敏博士為該論文的第一作者,張吉旺教授和任佰朝副教授為該論文的通訊作者。
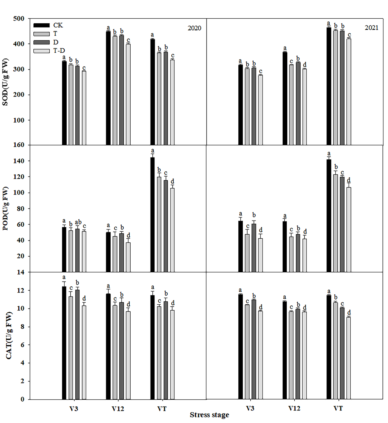
黃淮海地區,夏玉米生長季高溫、干旱及其復合災害頻發,嚴重限制該地區玉米生產。該團隊通過設置不同生育時期高溫、干旱及高溫干旱復合脅迫處理,以正常水分管理和溫度條件為對照,研究高溫、干旱及其復合脅迫對夏玉米光合、衰老特性及產量形成的影響,探討高溫、干旱及其復合脅迫導致玉米減產的生理機制。研究表明,不同生育時期高溫、干旱及其復合脅迫顯著降低夏玉米葉片抗氧化酶活性和可溶性蛋白含量,導致MDA含量增加,細胞膜受損加劇,植株衰老加速。相應地,夏玉米葉片RuBPcase和PEPCase活性降低,即高溫、干旱及其復合脅迫降低了葉片捕捉和利用光能的能力,進而導致葉片光合速率和干物質積累量顯著降低。此外,高溫、干旱及其復合脅迫可不同程度抑制光合同化物向雌穗轉運,其中VT時期高溫對其影響最為顯著,而干旱會加劇高溫脅迫對同化物向穗部轉運的抑制作用。因此,VT時期高溫、干旱及其復合脅迫對夏玉米產量影響最為顯著,其次是V12時期,V3時期影響最小。此外,不同生育時期高溫、干旱復合脅迫對夏玉米生長發育及產量的影響均大于單一脅迫,但影響幅度小于兩單一脅迫的加和,即高溫、干旱對夏玉米生長有一定程度的正交互作用,這可能與作物的自我調節能力有關。

圖1 不同生育時期高溫、干旱及其復合脅迫對夏玉米抗氧化酶活性的影響

圖2 不同生育時期高溫、干旱及其復合脅迫對夏玉米可溶性蛋白的影響
該研究解析了不同生育時期夏玉米葉片抗氧化酶、光合酶活性,光合同化物合成與分配特性對高溫、干旱及其復合脅迫的差異響應,對黃淮海地區夏玉米抗逆栽培生產具有重要意義。
該研究得到國家自然科學基金項目、山東省博士后創新計劃、國家現代農業產業技術體系建設專項、國家重點研發計劃和華北作物改良與調控國家重點實驗室的資助。
論文鏈接:https://doi.org/10.1016/j.agwat.2023.108525
編 輯:萬 千
審 核:賈 波


